programmers.co.kr/learn/courses/30/lessons/12978
코딩테스트 연습 - 배달
5 [[1,2,1],[2,3,3],[5,2,2],[1,4,2],[5,3,1],[5,4,2]] 3 4 6 [[1,2,1],[1,3,2],[2,3,2],[3,4,3],[3,5,2],[3,5,3],[5,6,1]] 4 4
programmers.co.kr
문제 설명
N개의 마을로 이루어진 나라가 있습니다. 이 나라의 각 마을에는 1부터 N까지의 번호가 각각 하나씩 부여되어 있습니다. 각 마을은 양방향으로 통행할 수 있는 도로로 연결되어 있는데, 서로 다른 마을 간에 이동할 때는 이 도로를 지나야 합니다. 도로를 지날 때 걸리는 시간은 도로별로 다릅니다. 현재 1번 마을에 있는 음식점에서 각 마을로 음식 배달을 하려고 합니다. 각 마을로부터 음식 주문을 받으려고 하는데, N개의 마을 중에서 K 시간 이하로 배달이 가능한 마을에서만 주문을 받으려고 합니다. 다음은 N = 5, K = 3인 경우의 예시입니다.

위 그림에서 1번 마을에 있는 음식점은 [1, 2, 4, 5] 번 마을까지는 3 이하의 시간에 배달할 수 있습니다. 그러나 3번 마을까지는 3시간 이내로 배달할 수 있는 경로가 없으므로 3번 마을에서는 주문을 받지 않습니다. 따라서 1번 마을에 있는 음식점이 배달 주문을 받을 수 있는 마을은 4개가 됩니다.
마을의 개수 N, 각 마을을 연결하는 도로의 정보 road, 음식 배달이 가능한 시간 K가 매개변수로 주어질 때, 음식 주문을 받을 수 있는 마을의 개수를 return 하도록 solution 함수를 완성해주세요.
제한사항
- 마을의 개수 N은 1 이상 50 이하의 자연수입니다.
- road의 길이(도로 정보의 개수)는 1 이상 2,000 이하입니다.
- road의 각 원소는 마을을 연결하고 있는 각 도로의 정보를 나타냅니다.
- road는 길이가 3인 배열이며, 순서대로 (a, b, c)를 나타냅니다.
- a, b(1 ≤ a, b ≤ N, a != b)는 도로가 연결하는 두 마을의 번호이며, c(1 ≤ c ≤ 10,000, c는 자연수)는 도로를 지나는데 걸리는 시간입니다.
- 두 마을 a, b를 연결하는 도로는 여러 개가 있을 수 있습니다.
- 한 도로의 정보가 여러 번 중복해서 주어지지 않습니다.
- K는 음식 배달이 가능한 시간을 나타내며, 1 이상 500,000 이하입니다.
- 임의의 두 마을간에 항상 이동 가능한 경로가 존재합니다.
- 1번 마을에 있는 음식점이 K 이하의 시간에 배달이 가능한 마을의 개수를 return 하면 됩니다.
입출력 예
N/road/K/result
| 5 | [[1,2,1],[2,3,3],[5,2,2],[1,4,2],[5,3,1],[5,4,2]] | 3 | 4 |
| 6 | [[1,2,1],[1,3,2],[2,3,2],[3,4,3],[3,5,2],[3,5,3],[5,6,1]] | 4 | 4 |
입출력 예 설명
입출력 예 #1
문제의 예시와 같습니다.
입출력 예 #2
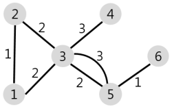
주어진 마을과 도로의 모양은 아래 그림과 같습니다.

#include <iostream>
#include <vector>
#include <queue>
#define INF 9999999
using namespace std;
vector<pair<int,int>> a[51]; // a[i]-> pair<노드정보,그노드까지의 가중치> , 인접행렬과 비슷한 역할
int d[51]; // 최소값을 저장함.
void dijkstra(int s){
d[s]=0;
priority_queue<pair<int,int>>q; //우선순위 큐를 통해 선형탐색(O(N))을 할필요없이 O(logN)으로 탐색가능 , 노드중에서 가장 작은 노드 먼저, 만약 노드가 같으면 가장 작은 거리(heap이기 때문에 '-' 로 저장)
q.push(make_pair(0,s)); // 시작지점의 가중치는 0
while(!q.empty()){
int distance = -q.top().first; //heap 구조지만 -를 해놔서 짧은 거리가 젤먼저 올 수 있음
int current=q.top().second;
q.pop();
if(d[current]<distance){continue;}
for(int i=0; i<a[current].size(); i++){ // a와 연결된 노드 탐색
int next = a[current][i].second;
int nextdistance = a[current][i].first;
if(d[next]>distance+nextdistance){ // next의 최솟값 저장소에 있는 거리 vs 현재노드를 지나고 next로 가는 rjfl
d[next] = distance+nextdistance;
q.push(make_pair(-d[next],next)); // 최솟값이 새로 갱신되었을 경우에만 우선순위 큐에 넣어준다.
}
}
}
}
int solution(int N, vector<vector<int>>road, int K) {
int answer = 0;
for(int i=1; i<=N; i++){
d[i]=INF;
} //이거 까먹지 말자
for(int i=0; i<road.size(); i++){
a[road[i][0]].push_back(make_pair(road[i][2],road[i][1]));
a[road[i][1]].push_back(make_pair(road[i][2],road[i][0]));
}
dijkstra(1);
for(int i=1; i<=N; i++){
if(d[i]<=K){answer++;}
}
return answer;
}
다익스트라 알고리즘 설명:
blog.naver.com/ndb796/221234424646
23. 다익스트라(Dijkstra) 알고리즘
다익스트라(Dijkstra) 알고리즘은 다이나믹 프로그래밍을 활용한 대표적인 최단 경로(Shortest Path) 탐...
blog.naver.com